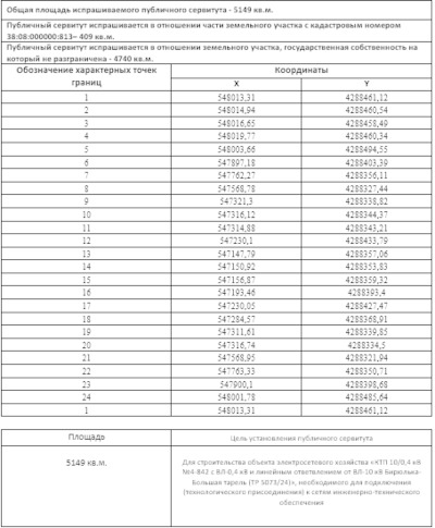
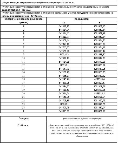
Доска объявлений
| Главная » Доска объявлений » Информация |
| Природоохранная прокуратура [48] | Финансы [18] |
| Туризм [0] | Разное [101] |
| Автозапчасти, оборудование [0] |
| В разделе объявлений: 167 Показано объявлений: 1-20 |
Страницы: 1 2 3 ... 8 9 » |
|
Служба по контракту – это выбор сильных. Выбор тех, кто хочет уверенности в будущем и готов обеспечить его своей семье. Бойцам гарантированы: * стабильное ежемесячное довольствие * социальные гарантии для себя и близких * до 75 дней отпуска в году * бесплатный проезд раз в год * статус ветерана боевых действий * возможность списания кредитов * ранний выход на пенсию Это не просто служба – это уважение, статус и реальная поддержка от государства. Подробности – по телефону 117 или на сайте служба-по-контракту38.рф. Так же по всем вопросам можете обращаться в Администрацию Качугского муниципального округа: пгт. Качуг, ул. Ленских Событий, 29 тел: 8 (39540) 31-2-32
|
|
Пастереллёз крупного рогатого скота Пастереллез КРС — это крайне тяжелое инфекционное заболевание, характеризующееся высокой заразностью и многочисленными осложнениями. Оно встречается в большинстве регионов РФ, а подвержены ему животные всех возрастов. Возбудитель представляет опасность и для человека. Причины Болезнь развивается в результате инвазии животных аэробными палочками Pasteurella. Они могут долгое время сохраняться в кормах, подстилке, почве, навозе. Переносчиками выступают другие особи (зачастую болезнь проходит в латентной форме), дикие животные, птицы и грызуны. Во внешнюю среду пастереллы выделяются с пометом, мочой, носовой мокротой, молоком. В организм попадают: при дыхании; через раны; слизистые оболочки. Чаще всего они локализуются в органах дыхания. Наиболее опасно заражение через открытую рану. При пастереллезе КРС бактерии быстро проникают в кровь, лимфу и разносятся по всему организму, вызывая интоксикацию. Факторами риска для распространения заболевания выступают антисанитарные условия в хозяйстве, отсутствие борьбы с грызунами, несбалансированное кормление поголовья, негативно сказывающееся на иммунитете. Развитие болезни Заболевание может развиваться стремительно, остро, подостро и хронически. Продукты жизнедеятельности микроорганизмов (эндотоксины, агрессины) чрезвычайно токсичны. Они быстро подавляют иммунитет и могут стать причиной летального исхода в течение 1-2 суток. В большинстве случаев развитие болезни характеризуется обширным поражением капилляров в различных тканях, что вызывает отеки. Как правило, от заражения до появления первых клинических признаков проходит до 3 суток. Симптомы пастереллеза КРС Основная форма болезни — острая. Наиболее частая клиническая картина характеризуется следующими признаками:
резко повышается температура; появляется вялость, отказ от кормов; прекращается выделение жвачки, у коров — лактация; в течение суток нарастает сердечная недостаточность; отекают легкие; быстро развивается септицемия (кровотечения на слизистых, кожная сыпь, учащенное дыхание). Дополнительные симптомы зависят от формы болезни. Так, при отечной разновидности быстро отекает шея под челюстью, живот, конечности. Животное с трудом дышит, у него образуется густая слюна. Грудная форма проявляет себя признаками пневмонии — дыхание учащается и становится тяжелым, животные кашляют, у них наблюдается атония, анорексия рубца. В кишечной форме болезнь проходит с водянистым пометом, имеющим следы крови. В основном особи погибают от нарушения функций сердца (инфаркт), легких (пневмония), печени, почек. Диагностика Для постановки диагноза осуществляются лабораторные исследования содержимого кишечника, тканей павших животных. Проводится микроскопия, которая показывает наличие палочек. Профилактика Следует принимать меры по недопущению размножения грызунов в хозяйстве, следить за соблюдением санитарно-гигиенических норм, не нарушать баланс питательных веществ в кормлении.
Управление Россельхознадзора по Иркутской области и Республике Бурятия. г. Иркутск, ул. Красноярская, 77, тел. 8(3952)559518, эл.почта: rshn12@fsvps.gov.ru |
|
Контагиозная плевропневмония крупного рогатого скота (КПП КРС) — это высококонтагиозное инфекционное заболевание,крупного рогатого скота, которое характеризуется крупозной пневмонией и плевритом, регионарных лимфатических узлов, протекающая в основном подостро или хронически. К болезни восприимчивы буйволы, зебу, яки, бизоны, овцы, козы, северные олени, верблюды и дикие жвачные животные. Возбудитель: Mycoplasma mycoides var. Mycoides. Источник инфекции: больные и переболевшие животные, у которых возбудитель выделяется в окружающую среду с истечениями из носа, бронхиальным секретом при кашле, а таюке с мочой, калом, молоком и околоплодной жидкостью. Пути заражения: аэрогенный (при содержании здоровых животных рядом с больными), а также трансплацентарный и половой. Факторы передачи: сперма, корма и объекты внешней среды, заражённые вирусом. Инкубационный период длительный от 2-4 недель до 6 месяцев. У животных наблюдается анорексия, лихорадка и респираторные симптомы, такие как одышка, кашель и носовые выделения, развитие односторонних пневмоний и плевритов. Встречается одновременное проявление респираторной симптоматики у взрослых животных и артритов у молодняка. Заболевание начинается с повышения температуры тела на 0,5-1 градусов, появления редкого сухого кашля, который вскоре становится более частым и болезненным. В дальнейшем, дыхание становится напряженным, болезненным, нередко сопровождается стонами при выдохе, частота его ускоряется до 30-40 в минуту. Отмечают частый, влажный, При постановке диагноза необходимо исключить пастереллез, туберкулез, крупозную пневмонию незаразного происхождения, травматический перикардит, парагрипп и эхинококкоза. Лечение больных животных запрещено из-за опасности распространения инфекции. Заражённый скот подлежит убою. В целях предотвращения возникновения и распространения КПП КРС физические и юридические лица, индивидуальные предприниматели, являющиеся собственниками (владельцами) восприимчивых животных (далее - владельцы восприимчивых животных), обязаны: осуществлять хозяйственные и ветеринарные мероприятия, обеспечивающие предупреждение болезней животных и безопасность в ветеринарном отношении продукции животного происхождения, содержать в надлежащем состоянии животноводческие помещения и сооружения для хранения кормов и переработки продукции животного происхождения, не допускать загрязнения окружающей среды отходами животноводства; соблюдать зоогигиенические и ветеринарно-санитарные требования при размещении, строительстве, вводе в эксплуатацию объектов, связанных с выращиванием и содержанием животных, производством, хранением продукции животного происхождения, ее переработкой и реализацией; обеспечить маркирование животных, представлять сведения, необходимые для учета животных, лицам, осуществляющим учет животных, по перечню» и в сроки, которые установлены ветеринарными правилами маркирования и учета животных.
В целях недопущения возникновения особо опасных заболеваний животных направляем памятки для ознакомления населения и считаем целесообразным принять следующие меры:
Помните! За действия (бездействие), повлекшие за собой возникновение очагов контагиозной плевропневмонии крупного рогатого скота и её распространение, предусмотрена административная и уголовная ответственность! |
|
Управление Федеральной службы по ветеринарному и фитосанитарному надзору по Иркутской области и Республике Бурятия в соответствии со ст. 46 Федерального закона от 31.07.2020 № 248-ФЗ «О государственном контроле (надзоре) и муниципальном контроле в Российской Федерации», а также с целью повышения осведомленности населения и заинтересованных лиц в вопросе распространения опасных заразных болезней, о животных, которые восприимчивы к ящуру, об основаниях для подозрения на заболевание животных ящуром, необходимости незамедлительного уведомления о возникновении клинических признаков заболевания, о паде е восприимчивых к я уру диких и сельскохозяйственных животных направляет информацию для проведения информирования граждан, глав КФХ и юридических лиц на подведомственной территории Иркутской области. Ящур - инфекционная, остро протекающая и быстро распространяющаяся болезнь домашних и диких парнокопытных, а также мозоленогих животных (далее - восприимчивые животные). Характерными клиническими признаками болезни являются: наличие язв (афт) и эрозий на слизистой оболочке ротовой полости, на коже венчика и межкопытцевой щели, носового зеркала, вымени (молочных желез). У больных восприимчивых животных наблюдаются: слюнотечение, повышение температуры тела, хромота и снижение аппетита. Инкубационный период болезни составляет до 14 суток. Гибель восприимчивых животных наступает в течение 1-2 календарных дней вследствие миокардита. У крупного рогатого скота вирусоносительство может длиться до 6 месяцев, у овец и коз - до 12 месяцев. Основным источником вируса являются больные, переболевшие, находящиеся в инкубационном периоде восприимчивые животные и вирусоносители. Основные пути передачи вируса - воздушно-капельный, контактный, алиментарный (через воду и корма). факторами передачи вируса является продукция животного происхождения, корма, инвентарь, материалы и иные материально-технические средства, зараженные вирусом, а также обслуживающий персонал, контактировавший с больными и переболевшими восприимчивыми животными. ВЕТЕРИНАРНЫЕ ПРАВИЛА ОСУЩЕСТВЛЕНИЯ ПРОФИЛАКТИЧЕСКИХ, ДИАГНОСТИЧЕСКИХ, ОГРАНИЧИТЕЛЬНЫХ И ИНЫХ МЕРОПРИЯТИЙ, УСТАНОВЛЕНИЯ И ОТМЕНЫ КАРАНТИНА И ИНЫХ ОГРАНИЧЕНИЙ, НАПРАВЛЕННЫХ НА ПРЕДОТВРАЩЕНИЕ РАСПРОСТРАНЕНИЯ И ЛИКВИДАЦИЮ ОЧАГОВ ЯЩУРА утверждены Приказом от 24 марта 2021 г. № 157. Правилами устанавливаются обязательные требования к организации и проведению мероприятий по ликвидации ящура, предотвращению его возникновения и распространения на территории Российской Федерации, определению границ территории, на которую должен распространяться режим ограничительных мероприятий и (или) карантина, в том числе в части определения очага болезни животных, осуществления эпизоотического зонирования, включая определение видов зон в целях дифференциации ограничений, установленных ре ением о введении ре има ограничительных мероприятий и (или) карантина, ограничений производства, перемещения, хранения и реализации товаров, подлежащих ветеринарному контролю (надзору), и требования к особенностям применения таких ограничений, в том числе проведению мероприятий в отношении производственных объектов, находящихся в карантинной зоне. Ящуром может болеть и человек! Заразиться ящуром человек может только от животных, контактируя с ними и употребляя зараженные молочные продукты в сыром виде. Для профилактики заболевания животных ящуром владельцы животных обязаны соблюдать следующее:
|
|
🔥Движение Первых объявило о старте третьего сезона Конкурса первичных отделений
🗓7 октября стартовал третий сезон флагманского проекта Движения Первых — конкурса лучших проектов для детей и молодежи «Конкурс первичных отделений Движения Первых» 2025-2026 годов.
🔗Он призван поддержать собственные проекты первичек и вдохновить ребят на социально значимые дела. Одной из ключевых тем конкурса станет развитие культуры наставничества и шефства, поддержки и взаимопомощи.
«Конкурс первичных отделений уже два года помогает Движению Первых развивать единое воспитательное пространство и поддерживать инициативы детей и взрослых по всей стране. Для Первых это реальная возможность создать или оборудовать школьный/студенческий медиацентр, отремонтировать или воплотить мечту о молодежном пространстве в реальность, развить иные направления деятельности в пределах первички», - отметил председатель Совета регионального отделения Движения Первых Иркутской области Сергей Перфильев.
В двух предыдущих сезонах Конкурса в Иркутской области приняли участие 788 команд. Победителями стали 90 команд детей и взрослых: в 2024 году – 48 первичек, в 2025 году – 42 первички. Суммарно регион получил премию на сумму в 20 700 000 рублей: в 2024 году – 10 900 000 рублей, в 2025 году – 9 800 000 рублей.
Конкурс открыт для команд из образовательных учреждений всех типов и уровней: от школ и колледжей до университетов и учреждений дополнительного образования. Также приглашаются участники организаций молодежной политики, культуры, спорта и других организаций, работающих, в том числе с детьми-сиротами, детьми с особенностями развития и находящихся в трудной жизненной ситуации.
Приглашаем каждое первичное отделение принять участие в конкурсе, ведь это не просто конкурс, а возможность заявить о себе, воплотить идеи и получить поддержку для реализации.💥
Движение Первых – крупнейшее в Российской Федерации сообщество детей, подростков и взрослых, объединяющее государственные и общественные институты для формирования единой воспитательной среды школьников и студентов профессиональных образовательных организаций. Участниками Движения Первых являются более 12 млн человек. Работа Движения реализуется в добровольной занятости детей и молодежи во внеучебное время в образовательных организациях, в организациях культуры, физической культуры и спорта, молодежной политики, социальной защиты и на предприятиях.
#ПервичкаВДеле #качугскийрайон_первые |
|
ДЕЙСТВИЯ В СЛУЧАЕ АТАКИ БПЛА Беспилотный летательный аппарат (далее - БПЛА) или беспилотное воздушное судно (далее - БВС), является беспилотным авиационным комплексом, отличительной чертой которого является отсутствие пилота на борту. Полёт такого комплекса может функционировать с различной степенью автономии: c помощью устройства дистанционного управления и с помощью системы автоматического пилотирования, функционирующей как на самом устройстве, так и на устройстве мониторинга и управления полётом. БВС предназначены для выполнения миссий, представляющих существенную опасность для людей. Изначально они создавались предпочтительно для военных целей, но с развитием технологий нашли своё применение и в гражданских сферах. Распознать БПЛА достаточно просто: они летят невысоко и с виду похожи на небольшой самолет. Однако именно они представляют наибольшую опасность, так как могут быть начинены взрывчаткой. Жужжащие квадратные дроны с мигающими лампочками - квадрокоптеры, которые чаще всего используют для наблюдения и съемок с высоты птичьего полета. Звук дрона распространяется недалеко и похож на жужжание модели самолета. Как действовать при обнаружении БПЛА: У Покинуть опасную зону - отойти на расстояние не менее 100 м за ближайшее здание или деревья (укрыться в капитальном строении). У По возможности предупредить окружающих об опасности. У Оперативно сообщить полную информацию о месте, времени обнаружения, количестве и направлении движения БПЛА, иную значимую информацию по номеру «112». НИ В КОЕМ СЛУЧАЕ НЕЛЬЗЯ:
Если вы столкнулись с БПЛА или стали свидетелем их поражения средствами ПВО:
Для укрытия от возможных последствий детонаций БПЛА рекомендуется спускаться в помещения, расположенные ниже уровня земли:
|
|
В Иркутской области действует информационный портал по социальной помощи и лечению зависимостей https://помощьтжс38.рф На портале вы найдете: -адреса и контакты организаций, где можно получить медицинскую помощь -центры социальной и медицинской реабилитации -государственные и общественные структуры, готовые поддержать -материалы для специалистов, работающих с семьями Этот сайт- о главном: о жизни,преодолении и пути к свободе от зависимости. Заходите и делитесь информацией- возможно, именно она станет первым шагом к новой жизни:https://помощьтжс38.рф |
|
СОКРЫТИЕ ПАДЕЖА - ДОПУСКАТЬ НЕЛЬЗЯ!
Эпизоотическое и ветеринарно-санитарное благополучие – один из факторов стабильной социально – экономической ситуации в регионе, способствует развитию и повышению рентабельности животноводства, а так же перерабатывающих отраслей. Одновременно обеспечиваются: - защита населения от болезней, общих для человека и животных, - повышение конкурентоспособности регионального продукта по критериям ветеринарно-санитарной безопасности; - обеспечение населения продуктами питания; - снижение рисков загрязнения окружающей среды и возникновения чрезвычайных ситуаций. Ветеринарно-санитарное благополучие способствует развитию общественного и индивидуального животноводства и предпринимательской деятельности. Согласно ст. 18 Закона РФ от 14 мая 1993 г. № 4979-1 "О ветеринарии" владельцы животных и производители продуктов животноводства обязаны предоставлять специалистам в области ветеринарии по их требованию животных для осмотра; немедленно извещать указанных специалистов о всех случаях внезапного падежа или одновременного массового заболевания животных, а также об их необычном поведении; до прибытия специалистов в области ветеринарии принять меры по изоляции животных, подозреваемых в заболевании. Не своевременное информирование о заболевании животных может привести к распространению инфекций, которые могут быть опасны как для животных, так и для людей. Так к примеру, падеж животного без видимых клинических признаков, может быть при причиной молниеносного течения африканской чумы свиней (далее - АЧС), сибирской язвы, а также при бешенстве. Все эти заболевания относятся к особо опасным болезням. В случае гибели скота владельцы должны незамедлительно уведомить ветеринарного специалиста. Это необходимо сделать в течение 24 часов с момента смерти животного. Важно помнить, что трупы животных представляют собой источник биологической опасности и могут служить переносчиками инфекций. Захоронение трупов в землю в соответствии с правилами категорически запрещено, т.к. возбудители вызывающие эти болезни могут долгое время сохранять реальную угрозу заражения людей и животных. За сокрытие от органов ветеринарного надзора сведений о внезапном падеже, массовых заболеваниях или несвоевременное извещение предусмотрено наказание в виде административного штрафа: для граждан 3-4 тыс. рублей, для должностных лиц – 30-40 тыс. рублей, для юридических лиц – 90-100 тыс. рублей. |
















































































